Recamán's Sequence (II), 2020

This a second interpretation of the Recamán Sequence, devised by Colombian mathematician Bernardo Recamán.
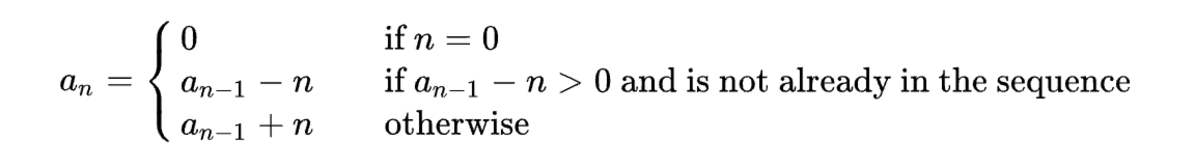
The Recamán's sequence is defined as:

The first number of the sequence are then 1, 3, 6, 2, 7, 13, 20, 12, 21, 11, 22, 10, 23, 9, 24, 8, and so on.
The image is first created by a computer program, then transferred to paper using a plotter with a graphite pencil.